Model Berbilang Negeri Untuk Perkembangan Penyakit Buah Pinggang
Mar 29, 2022
Hubungi: Audrey Hu Whatsapp/hp: 0086 13880143964 E-mel:audrey.hu@wecistanche.com
MK Lintua, KM Shreyasb, Asha Kamatha,* et al
Abstrak
latar belakang:Memahami perkembangan penyakit buah pinggang adalah sangat menarik di kalangan doktor. Model berbilang keadaan ialah alat yang mencukupi untuk memodelkan kesan kovariat yang mempengaruhi permulaan, perkembangan dan regresi fungsi buah pinggang.
Objektif:Matlamat kajian ini adalah untuk mencadangkan model stokastik untukbuah pinggangpenyakitperkembangan dan untuk menunjukkan aplikasi yang sama.
Metodologi:Kami mencadangkan model Markov berbilang keadaan homogen masa separa parametrik untuk data perkembangan penyakit buah pinggang yang diperoleh daripada kajian retrospektif 225 pesakit yang ditetapkan colistin (antibiotik yang muncul semula) di hospital penjagaan tertiari di pantai Karnataka. Peringkat penyakit buah pinggang yang berbeza telah ditakrifkan berdasarkan skor Penyakit Buah Pinggang Meningkatkan Hasil Global (KDIGO). Model ini terdiri daripada tiga keadaan sementara dan keadaan kematian yang menyerap. Kesan kovariat pada kadar peralihan dua arah dianggarkan menggunakan model berbilang keadaan.
Keputusan:Kami menggunakan data 225 pesakit untuk melihat perkembangan penyakit buah pinggang mereka. Kesemua pesakit menjalani terapi colistin. Tempoh purata tinggal di hospital ialah 21 hari. Sebanyak 83 (36.89 peratus) pesakit meninggal dunia di hospital. Faktor prognostik seperti jantina, hipertensi, sepsis, dan pembedahan adalah faktor penting yang mempengaruhi penyakit buah pinggang dalam peringkat yang berbeza.
Kesimpulan:Penemuan kajian akan berguna untuk penggubal dasar kesihatan awam untuk melaksanakan dasar dan pelan rawatan untuk meningkatkan kemandirian pesakit. Selain itu, pemodelan perkembangan penyakit membantu dalam memahami beban jangkaan penyakit ini.
Kata kunci:Model berbilang negeri,buah pinggang penyakit, Keamatan peralihan, Peristiwa pertengahan, Perkembangan penyakit
faedah cistanche deserticola: merawat penyakit buah pinggang
1. Pengenalan
buah pinggang penyakitmerupakan masalah kesihatan awam yang penting. Walau bagaimanapun, campur tangan awal boleh dielakkanbuah pinggangmasalahsecara kekal. Hasil buruk dan perkembangankronikpenyakitsepertibuah pinggangpenyakitboleh dikawal dengan ubat-ubatan yang mencukupi dan perubahan gaya hidup. Memandangkan penyakit buah pinggang sering berakhir dengan kemasukan ke hospital, pemodelan tempoh penginapan, kemandirian dan perkembangan penyakit buah pinggang adalah sangat diminati di kalangan doktor.
Pendekatan survival standard seperti kaedah Kaplan-Meier atau model bahaya berkadar Cox adalah mencukupi untuk mengendalikan tetapan kelangsungan hidup yang mudah tanpa peristiwa perantaraan. Walau bagaimanapun, perkembangan penyakit buah pinggang adalah contoh proses yang kompleks dengan peristiwa perantaraan yang berbeza. Model berbilang negeri ialah cara yang cekap untuk mengendalikan proses kompleks seperti ini. Subjek boleh berada dalam satu keadaan pada permulaan kajian, seterusnya melalui negeri yang berbeza dan akhirnya berakhir dalam keadaan akhir. Peralihan subjek ini boleh dimodelkan dan faktor risiko yang dikaitkan dengan masa kelangsungan hidup peralihan yang berbeza boleh dikenal pasti menggunakan model berbilang keadaan. Model menganggarkan kesan faktor klinikal dan demografi yang berbeza terhadap proses penyakit yang kompleks.1–3
Model multi-state biasanya digunakan dalam kajian kanser kerana terdapat pelbagai peringkat kanser yang menunjukkan perkembangan penyakit.4,5 Begitu juga, terdapat kajian yang dijalankan untuk mengenal pasti faktor risiko yang mempengaruhi perkembangan AIDS dalam pesakit HIV.6–8 Penyakit seperti diabetes , penyakit buah pinggang kronik, dsb. juga boleh dikendalikan dengan cekap dengan model pelbagai keadaan dan bukannya model kelangsungan hidup yang mudah.9,10
Dalam artikel ini, kami mencadangkan model berbilang negeri untuk perkembangan penyakit buah pinggang pesakit yang menerima colistin semasa tinggal di hospital mereka. Rekod kes 225 pesakit telah diambil dan skor KDIGO mereka pada titik masa yang berbeza telah diakses untuk kertas pendamping klinikal. Tempoh tinggal di hospital ialah bilangan hari dari kemasukan sehingga kematian/discharge. Semasa berada di hospital, pesakit telah melalui pelbagai peringkat keterukan penyakit. Kami menentukan proses dengan empat keadaan. Tiga keadaan sementara yang diperoleh daripada skor KDIGO diberikan dalam Jadual 1.

Daripada kajian epidemiologi yang berbeza, jelas bahawa biomarker dan komorbiditi yang berbeza memainkan peranan penting dalam perkembangan penyakit buah pinggang. Kami menganggarkan kesan kovariat yang mempengaruhi permulaan, perkembangan, dan regresi fungsi buah pinggang menggunakan model pelbagai keadaan. Kami juga menyediakan demonstrasi untuk dokumentasi, analisis dan tafsiran data supaya pembaca boleh melaksanakan model berbilang negeri dengan mudah. Untuk pengetahuan terbaik kami, model Markov berbilang negeri belum digunakan untuk memodelkan perkembangan penyakit buah pinggang yang disebabkan oleh colistin.
Dalam kertas yang lain, kami membentangkan data, menerangkan metodologi, dan membincangkan hasilnya.

cistanche deserticola
2. Bahan-bahan dan cara-cara
2.1. Perihalan data
Kajian retrospektif pada asalnya dijalankan untuk memahami faktor risiko yang dikaitkan dengan nefrotoksisiti yang disebabkan oleh colistin pada pesakit yang dirawat di Jabatan Perubatan, Hospital Kasturba, Manipal, dari Januari 2016 hingga Disember 2017. Kami menyiasat selanjutnya kematian di hospital, tempoh hospital tinggal, dan perkembangan penyakit buah pinggang. Daripada jumlah 600 rekod kes yang disaring, 225 pesakit adalah sesuai untuk kajian ini. Rekod kes hospital bagi 225 pesakit ini menjadi asas kepada kajian ini.
Skor KDIGO telah diakses pada titik masa yang berbeza untuk memantaubuah pinggangfungsipenambahbaikan dan penurunan. Faktor prognostik seperti umur, jantina, diabetes, hipertensi, dan lain-lain telah direkodkan untuk setiap pesakit. Kajian serupa dalam literatur mendekati masalah dengan regresi logistik atau analisis survival biasa dengan menganggap titik akhir sebagai penurunan fungsi buah pinggang. Kaedah ini mengabaikan peralihan kemajuan dan regresi merentas negeri yang berbeza. Model berbilang negeri memberikan pemahaman yang mendalam tentang umumbuah pinggang fungsicorak penambahbaikan atau kemerosotan dan hasil kematian dari segi kebarangkalian peralihan. Peralihan ialah perubahan keadaan sepanjang kajian dan kebarangkalian peralihan ialah kebarangkalian berpindah dari satu keadaan ke keadaan yang lain. Kebanyakan pesakit kelihatan berayun antara keadaan 1, keadaan 2, dan keadaan 3 beberapa kali, yang menunjukkan bahawa keadaan ini boleh diterbalikkan. Peralihan boleh diterbalikkan apabila subjek bergerak ke sana ke mari antara dua keadaan.
Susunan data adalah langkah penting dalam menyesuaikan model berbilang negeri. ID unik yang diberikan kepada setiap pesakit menjaga pengelompokan subjek tunggal. Oleh itu, penjagaan harus diberikan semasa mendokumentasikan data untuk memastikan bahawa semua maklumat daripada seorang pesakit telah dilindungi di bawah ID unik yang sama. Susun atur data sampel diberikan dalam Jadual 2.

2.2. Model berbilang negeri
Perkembangan penyakit buah pinggang boleh digambarkan sebagai proses stokastik dengan ruang keadaan terhingga dalam masa yang berterusan. Keadaan yang berbeza mencerminkan keterukan penyakit. Keadaan terdiri daripada dua jenis: sementara dan menyerap. Keadaan menyerap ialah keadaan yang, setelah dimasukkan, tidak boleh dibiarkan. Manakala, keadaan sementara adalah yang mempunyai peralihan selanjutnya. Model berbilang keadaan ialah alat yang berguna untuk menerangkan pergerakan subjek antara keadaan berbeza dalam masa yang berterusan. Model mengira kebarangkalian peralihan untuk semua peralihan yang mungkin.11,12
Kami mencadangkan model Markov berbilang keadaan homogen masa empat keadaan berterusan untuk data perkembangan penyakit buah pinggang. Sesuatu proses adalah Markovian jika masa depan hanya bergantung pada masa kini. Model digambarkan dalam Rajah 1.

Anak panah menunjukkan peralihan yang mungkin. Anak panah dua belah membayangkan peralihan boleh balik. Peralihan boleh diterbalikkan jika subjek bergerak ke sana ke mari antara dua keadaan. Tiga keadaan sementara (keadaan dengan anak panah keluar) dipertimbangkan ialah: keadaan 1 (KDIGO > 60), keadaan 2 (30 < kdigo="">< 60)="" dan="" keadaan="" 3="" (kdigo="">< 30).="" keadaan="" 4="" (kematian)="" sedang="" menyerap="" (nyatakan="" tanpa="" anak="" panah="" keluar).="" proses="" (x(t),="" t="" ∈="" t)="" dengan="" keadaan-ruang="" s="{1," 2,="" 3,="" 4}="" menerangkan="" keadaan="" yang="" diduduki="" pada="" masa="" t.="" pembolehubah="" masa="" diukur="" dalam="" hari="" bermula="" dari="" kemasukan="" ke="" hospital.="" model="" berbilang="" keadaan="" mencirikan="" kebarangkalian="" peralihan.="" kebarangkalian="" peralihan="" (fungsi="" masa)="" diberikan="" oleh:="" kesan="" kovariat="" (umur,="" jantina,="" hipertensi,="" diabetes,="" dll.)="" pada="" kadar="" peralihan="" dua="" arah="" telah="" dianggarkan.="" anggaran="" bahaya,="" λij="" diberikan="">

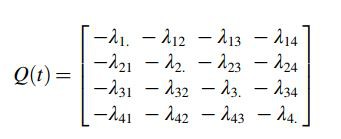
di mana λij ialah risiko serta-merta untuk berpindah dari keadaan i ke keadaan j. Matriks keamatan peralihan diberikan oleh:

Pembolehubah berterusan dibentangkan sebagai min (SD); pembolehubah kategori sebagai kekerapan ( peratus ).

Q ialah n × n matriks keamatan peralihan, di mana, n ialah bilangan maksimum keadaan yang terlibat dalam proses. Keamatan peralihan memberikan kadar peralihan serta-merta dari satu keadaan ke keadaan yang lain. Entri (i, j) ialah 0 apabila tiada peralihan yang mungkin dari i ke j. Entri pepenjuru ialah: λii(t)=λi.=− ∑i=∕jλij(t) untuk semua I ∈ S. Keadaan 4 ialah keadaan menyerap, kebarangkalian untuk keluar dari keadaan ini ialah sifar. Jumlah unsur bagi setiap baris matriks peralihan ialah sifar. Memasang model berbilang keadaan ialah proses mencari keamatan peralihan yang tidak diketahui yang memaksimumkan kemungkinan.13
Model berbilang negeri menganggarkan purata masa tinggal di setiap negeri, iaitu tempoh purata yang dilalui pesakit dalam keadaan sementara dalam satu penginapan sebelum berpindah ke negeri lain. Jangkaan masa tinggal dikira sebagai − 1/λjj, dengan λjj ialah kemasukan pepenjuru ke-j bagi Q(t).
Kebarangkalian peralihan dikira daripada keamatan peralihan sebagai P(t)=exp[Q(t)]. Matriks kebarangkalian peralihan diberikan oleh:

Jumlah baris P adalah sama dengan satu. Untuk keadaan menyerap j, Pjj(s,t) =1.
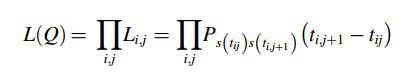
Fungsi kemungkinan terbentuk dengan kebarangkalian peralihan. Fungsi kemungkinan ini, L(Q) diberikan oleh,

Di mana unsur Li,j ialah kemasukan baris s(tij) dan lajur s(ti,j tambah 1) dalam matriks kebarangkalian peralihan.
Model regresi bahaya berkadar digunakan untuk menggabungkan kesan kovariat pada intensiti peralihan. Diberi vektor kovariat Z,

ij ialah vektor pekali regresi. Kami menggunakan pakej MSM dalam R versi 4.0.2 untuk melaksanakan analisis berbilang keadaan.14 Pemilihan model dilakukan dengan ujian nisbah kemungkinan.

batang cistanche
3. Keputusan
3.1. Analisis data penerokaan
Kajian retrospektif ini bertujuan untuk memodelkan perkembangan penyakit buah pinggang pesakit yang menerima colistin semasa tinggal di hospital mereka. Daripada 225 pesakit, 83 (37 peratus) pesakit meninggal dunia di hospital, dan 142 (63 peratus) pesakit dibenarkan keluar hidup-hidup. Statistik deskriptif boleh didapati dalam Jadual 3 dan Jadual 4. Tempoh median (IQR) tinggal ialah 21 (16) hari. Terdapat 166 pesakit lelaki dan 59 pesakit wanita dimasukkan ke hospital. Umur median (IQR) pesakit ialah 57 (26) dan min (± SD) ialah 54 ( ±17). Terdapat 87 (39 peratus) pesakit hipertensi, 78 (35 peratus) pesakit diabetes, 115 (51 peratus) pesakit sepsis, 30 (13.3 peratus) pesakit Penyakit Buah Pinggang Kronik (CKD), 123 (55 peratus) pesakit dengan radang paru-paru, dan 59 (26 peratus) pesakit mengalami Kecederaan Buah Pinggang Akut (AKI). Antara pesakit yang dimasukkan ke hospital, 194 (86} peratus ) telah dimasukkan ke ICU dan 119 (53 peratus ) pesakit telah menjalani pembedahan.


Di antara 225 pesakit, 83 (37 peratus) pesakit meninggal dunia di hospital dan baki 142 (63 peratus) pesakit terselamat hidup. Masa hidup median ialah 38 hari (Jadual 5). Rajah 2 mewakili anggaran Kaplan Meier bagi fungsi kemandirian.


3.2. Analisis pelbagai negeri
Terdapat 126 pesakit di negeri 1, 48 pesakit di negeri 2, dan 51 pesakit di negeri 3 pada masa kemasukan. Matriks peralihan proses diberikan dalam Jadual 6. Memandangkan peralihan itu boleh diterbalikkan, terdapat lebih daripada satu peralihan jenis yang sama dalam pesakit yang sama.

Terdapat 32 peralihan dari negeri 1 ke negeri 4, menunjukkan 32 pesakit yang tergolong di negeri 1 meninggal dunia di hospital. Begitu juga, terdapat 27 dan 24 kematian masing-masing di negeri 2 dan negeri 3. Entri pepenjuru menunjukkan bilangan kejadian apabila pesakit kekal dalam keadaan yang sama pada titik masa berikutnya. Anggaran purata masa tinggal diberikan dalam Jadual 7.

Pakej msm telah digunakan untuk melakukan analisis pelbagai keadaan untuk mendapatkan kesan kovariat pada keamatan peralihan. Model berbilang negeri univariat telah dibina dengan kovariat yang signifikan secara klinikal. Kovariat yang menunjukkan kepentingan statistik (nilai p<0.05) in="" the="" univariate="" analysis="" were="" considered="" in="" the="" final="" model.="" hazard="" ratios="" (95%="" confidence="" intervals)="" of="" each="" transition="" are="" shown="" in="" table="" 8="" and="" table="">0.05)>


Pesakit lelaki di negeri 1 berisiko tinggi [HR: 2.55; 95 peratus CI (1.31–4.92)] perkembangan penyakit berbanding wanita. Walau bagaimanapun, peluang regresi juga lebih tinggi untuk pesakit lelaki di negeri 2. Berbanding dengan wanita di negeri 3, lelaki mempunyai 86 peratus lebih sedikit peluang untuk mendapat hasil yang buruk. Kehadiran diabetes menunjukkan kesan bercampur dalam peralihan yang berbeza. Pesakit hipertensi di negeri 2 lebih berisiko mendapat penyakit berbanding yang lain dan peluang mereka untuk regresi dari negeri 3 juga kurang. Sepsis merupakan faktor risiko dan menunjukkan kesan yang ketara dalam peralihan daripada keadaan 1 dan keadaan 2 kepada keadaan menyerap. Ini menunjukkan bahawa pesakit sepsis berisiko tinggi untuk kematian. Begitu juga, pesakit yang telah menjalani pembedahan berisiko lebih tinggi untuk kematian di negeri 3. Disebabkan ketidakseimbangan dalam sesetengah kumpulan, mungkin terdapat beberapa persatuan palsu yang tidak menunjukkan kepentingan klinikal.

ulasan cistanche: merawat penyakit buah pinggang
4. Perbincangan dan kesimpulan
Penyakit buah pinggang adalah masalah kesihatan awam yang penting. Walau bagaimanapun, campur tangan awal boleh mengelakkan masalah buah pinggang secara kekal. Pemodelan perkembangan penyakit membantu dalam memahami beban jangkaan penyakit yang boleh berguna lagi untuk penggubal dasar kesihatan awam negara.
Beberapa peristiwa perantaraan yang tidak membawa maut memberikan lebih banyak gambaran tentang perkembangan penyakit. Dalam kebanyakan kajian, peristiwa ini sering diabaikan. Walau bagaimanapun, acara perantaraan ini amat penting bagi doktor untuk memperbaiki rancangan rawatan. Model Markov berbilang negeri telah digunakan untuk memahami perkembangan beberapa penyakit kronik yang melibatkan peralihan merentasi keadaan perantaraan yang berbeza yang menunjukkan keterukan penyakit sepanjang masa yang berterusan. Model ini memberikan lebih banyak pandangan tentang corak peristiwa yang kompleks dan dengan itu ia boleh digunakan sebagai alat yang berkesan untuk mengkaji keberkesanan rawatan. Model pelbagai keadaan digunakan dalam kajian kanser kerana terdapat pelbagai peringkat kanser yang membentuk peralihan yang berbeza.4,5 Begitu juga, terdapat kajian yang dijalankan untuk mengenal pasti faktor risiko yang mempengaruhi perkembangan AIDS dalam pesakit HIV.6–8 Penyakit seperti diabetes, penyakit buah pinggang kronik, dsb. juga boleh dikendalikan dengan cekap dengan model pelbagai keadaan dan bukannya model kelangsungan hidup yang mudah.9,10 Walau bagaimanapun, kurang bilangan aplikasi ditemui dalam bidang perkembangan penyakit buah pinggang kronik. Kajian terbaru yang menggunakan model pelbagai keadaan untuk memahami perkembangan penyakit buah pinggang kronik adalah oleh Grover et al.10
Kami mencadangkan model berbilang negeri 4 negeri untuk perkembangan penyakit buah pinggang pesakit yang menerima colistin. Percubaan telah dibuat untuk memberikan demonstrasi mudah model berbilang negeri yang menyasarkan profesional kesihatan. Dengan ketersediaan alat perisian canggih, analisis adalah mudah dan berkesan. Walaupun kami menekankan model Markov am, terdapat pelbagai jenis model berbilang keadaan mengikut sifat proses.1,2,15–18
Langkah asas berikut disyorkan untuk menggunakan model berbilang keadaan: (i) mentakrifkan proses dengan mengenal pasti keadaan yang berbeza dan kemungkinan peralihan seperti yang ditunjukkan dalam Rajah 1 dan Jadual 2. Pastikan bilangan keadaan minimum untuk kelancaran fungsi model ( ii) mendokumenkan data dengan betul seperti yang ditunjukkan dalam Jadual 1. (iii) menggunakan perisian dan pakej yang sesuai agar sesuai dengan model (iv) mentafsir keputusan tanpa kehilangan kelebihan model berbilang keadaan berbanding teknik analisis kemandirian piawai yang lain.
Tempoh median tinggal ialah 21 hari dan masa hidup median ialah 38 hari. Keputusan menunjukkan bahawa jantina, diabetes, hipertensi, sepsis, dan pembedahan adalah faktor penting yang mempengaruhi perkembangan atau regresi penyakit buah pinggang. Keputusan yang diperoleh daripada kajian ini adalah terhad dalam kuasa kerana bilangan subjek yang lebih kecil. Oleh itu, penemuan ini perlu digeneralisasikan dengan berhati-hati. Selepas itu, pelbagai peringkat penyakit buah pinggang telah digabungkan kerana saiz sampel yang lebih kecil. Ini akan menjejaskan kebolehgeneralisasian penemuan kerana gambaran tepat corak peralihan perkembangan penyakit buah pinggang tidak disertakan.8
Pakej msm dalam R versi 4.0.2 telah digunakan untuk memuatkan model berbilang keadaan. Memandangkan had yang disenaraikan dalam dokumentasi pakej MSM,14 kemasukan lebih banyak kovariat adalah mencabar disebabkan oleh isu penumpuan. Oleh itu, untuk masalah yang lebih kompleks, pakej harta pusaka boleh digunakan.
Penemuan daripada model berbilang negeri akan berguna untuk penggubal dasar kesihatan awam untuk melaksanakan dasar dan pelan rawatan untuk meningkatkan kemandirian pesakit. Selain itu, pemodelan perkembangan penyakit membantu dalam memahami beban jangkaan penyakit ini.

faedah ekstrak cistanche: meningkatkan fungsi buah pinggang
Kelulusan etika dan persetujuan untuk mengambil bahagian
Kajian ini membentangkan analisis sekunder. Kelulusan etika telah diperolehi untuk kertas pengiring klinikal.
Pembiayaan
Penyelidikan ini tidak menerima sebarang pembiayaan.
Pengisytiharan kepentingan bersaing
Pengarang tidak mempunyai konflik kepentingan untuk didedahkan.
Rujukan
1 Andersen PK. Model multistate dalam analisis survival: kajian nefropati dan kematian dalam diabetes. Stat Med. 1988;7(6):661–670.
2 Andersen PK, Esbjerg S, Sørensen TI. Model pelbagai keadaan untuk episod pendarahan dan kematian dalam sirosis hati. Stat Med. 2000;19(4):587–599.
3 Amorim LD, Cai J. Memodelkan peristiwa berulang: tutorial untuk analisis dalam epidemiologi. Int J Epidemiol. 2015;44(1):324–333.
4 Le-Rademacher JG, Peterson RA, Therneau TM, et al. Penggunaan model berbilang negeri dalam ujian klinikal kanser. Percubaan Clin. 2018;15(5):489–498.
5 Putter H, van der Hage J, de Bock GH, et al. Anggaran dan ramalan dalam model berbilang negeri untuk kanser payudara. Biom J. 2006;48(3):366–380.
6 Hamidi O, Tapak L, Poorolajal J, et al. Mengenal pasti faktor risiko untuk perkembangan AIDS dan kematian selepas jangkitan HIV menggunakan model pelbagai keadaan penyakit-kematian. Clin Epidemiology Glob Health. 2017;5(4):163–168.
7 Tapak L, Kosorok MR, Sadeghifar M, et al. Pokok kelangsungan hidup yang dikira secara rekursif berbilang negeri untuk analisis data masa-ke-peristiwa: aplikasi untuk AIDS dan data kematian selepas jangkitan HIV. Kaedah BMC Med Res. 2018;18(1):1–2.
8 Matsena Zingoni Z, Chirwa TF, Todd J, et al. Perkembangan penyakit HIV di kalangan pesakit terapi antiretroviral di Zimbabwe: model Markov multistate. Kesihatan Awam Depan. 2019;7:326.
9 Aliyari R, Hajizadeh E, Aminorroaya A, et al. Model multistate untuk meramalkan perkembangan komplikasi lewat diabetes jenis 2 dalam kajian kohort terbuka. Diabetes Metab Syndr Obes. 2020;13:1863.
10 Grover G, Sabharwal A, Kumar S, et al. Model Markov berbilang negeri untuk perkembangan penyakit buah pinggang kronik. Turkiye Klinikleri J Biostat. 2019;11(1):1–4.
11 Keiding N, Klein JP, Horowitz MM. Model pelbagai keadaan dan ramalan hasil dalam pemindahan sumsum tulang. Stat Med. 2001;20(12):1871–1885.
12 Klein JP, Qian C. Memodelkan kelangsungan hidup berbilang keadaan yang digambarkan dalam pemindahan sumsum tulang. Biometrik. 1996:93–102.
13 Manzini G, Ettrich TJ, Kremer M, et al. Kelebihan pendekatan pelbagai keadaan dalam penyelidikan pembedahan: bagaimana peristiwa perantaraan dan profil faktor risiko mempengaruhi prognosis pesakit dengan kanser rektum lanjutan tempatan. Kaedah BMC Med Res. 2018;18(1): 1–11.
14 Jackson CH. Model berbilang keadaan untuk data panel: pakej MSM untuk Perisian R. J Stat. 2011;38(8):1–29.
15 Marshall G, Jones RH. Model pelbagai keadaan dan retinopati diabetik. Stat Med. 1995 Sep 30;14(18):1975–1983.
16 Meira-Machado L, de Una- ˜ Alvarez ´ J, Cadarso-Suarez ´ C, et al. Model berbilang negeri untuk analisis data masa ke peristiwa. Kaedah Stat Med Res. 2009;18(2):195–222.
17 Begun A, Icks A, Waldeyer R, et al. Pengenalpastian model rantaian Markov tidak homogen berbilang negeri berterusan untuk pesakit yang mengalami penurunan fungsi buah pinggang. Pembuatan Med Decis. 2013 Feb;33(2):298–306.
18 O'Keeffe AG, Su L, Perpisahan VT. Model multistate berkorelasi untuk pelbagai proses: aplikasi untuk perkembangan penyakit buah pinggang dalam lupus erythematosus sistemik. Persatuan Statistik Diraja. 2018;67(4):841–860.

